图知网
搜索
首页
热门推荐
图片分类
君子兰
下载原图
相关图片
红花大胜利君子兰欣赏
大胜利君子兰,喜欢的看看.没有擦,擦干净之后,非常好看.
又到君子兰赏花季
大胜利君子兰————养群兰的最佳首选
有阳刚之气的大胜利君子兰
大胜利君子兰
为你推荐
北大才子北大女博士文韬佳佳,实现愿望旅行结婚_爱情_祝福_婚礼
中国现代第一美女是谁?-百科网
心包穿刺术
第十一课《清清的水——瀑布》第75页
罗马柱
揭秘海洋"黑洞"——涡流|潮汐|方向|漩涡_网易订阅
盒饭套餐
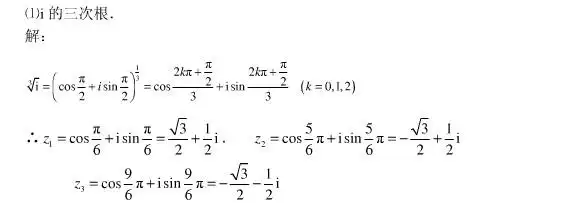
求-1的三次方根