图知网
搜索
首页
热门推荐
图片分类
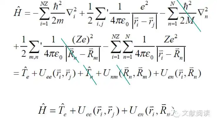
薛定谔的波动方程
下载原图
相关图片
薛定谔方程
唯心识学038带你看懂薛定谔方程二
深度科普:带你看懂薛定谔方程,量子力学入门
公式之美 量子学派编著黎曼猜想5g万有引力熵增定律薛定谔方程三
1.1)称作薛定谔方程
如何解多体薛定谔方程
为你推荐
洪金宝,成龙
动漫cos鬼灭之刃蝴蝶忍鬼队服cosplay服装漫展cosplay女装
美女冬日雪地拍摄唯美古风摄影
12个月份开的花简笔画 简笔画图片大全-普车都
动漫三宫格壁纸
趵突泉纪念品文创书签,带你去看趵突泉.
卡通插画超市购物车简笔画
塔罗方舟-大阿尔卡那 - 明日方舟同人 | taptap 明日方舟社区