图知网
搜索
首页
热门推荐
图片分类
卡农小提琴谱全指法全弓法
下载原图
相关图片
钢琴 #卡农#简谱 - 抖音
小提琴曲 卡农 换成简谱是什么
卡农小提琴谱
卡农小提琴完整曲谱,不要手写的,谢谢
卡农完整简谱 - 百度文库
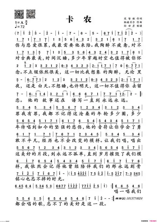
卡农简谱-宋智敏演唱1
为你推荐
广州爱普生cb770f高清投影机仅22899元
无忧文档 所有分类 高等教育 医学 chi-squareppt 统计课件 卡方分布
教师节送香槟玫瑰的花语壁纸图片
中国华北艺术摄影交流群2020年11月12日 第57期 优秀摄影作品
宝马530le后备箱多少容积宝马x1后备箱
卡通海盗,水手,强盗.海盗的形象.
赏名画,知党史 东城根街小学学子献礼建党百年 - 幼儿园●小学 - 四川
游走温岭松门,石塘海岸线