图知网
搜索
首页
热门推荐
图片分类
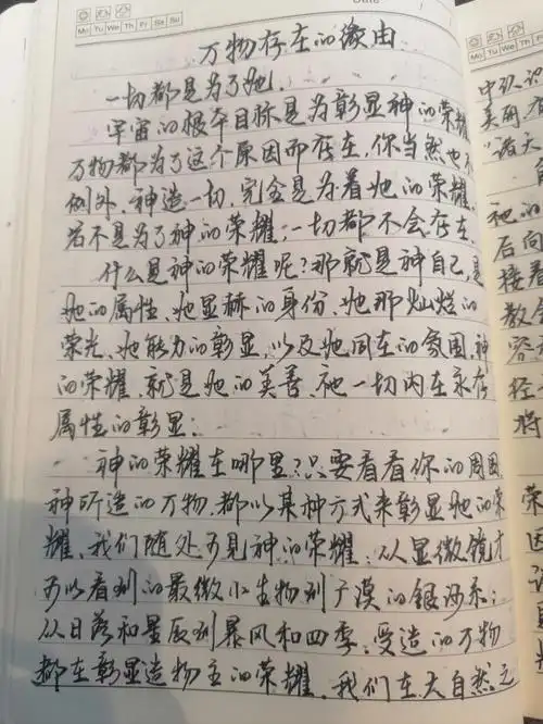
《标杆人生》读后分享--田义平
下载原图
相关图片
标杆人生路28号2票常常喜乐34号2票如鹰展翅上腾32号2票耶稣掌权37号2
标杆人生第二天
手抄标杆人生第十天
标杆人生中文版序
手抄标杆人生第七天
手抄标杆人生第三天上
为你推荐
【幸福民生 "风"靡聊城】民生凤凰城首届风车节开转啦!
动漫女子简笔画简单悲伤漫画人物简笔画女生古装全身古风动漫简笔画
易建联邓亚萍最萌身高差
爱慕儿童官方正品男童莫代尔中腰平角内裤ak2234673内裤
n820 usb数据线接线图.jpg
喜讯:沂水灵泉山旅游区获评国家aaa级景区~_腾讯新闻
蓝色的窗帘,高分辨率蓝色窗帘, 3d 渲染
两脚踩在草地上