图知网
搜索
首页
热门推荐
图片分类
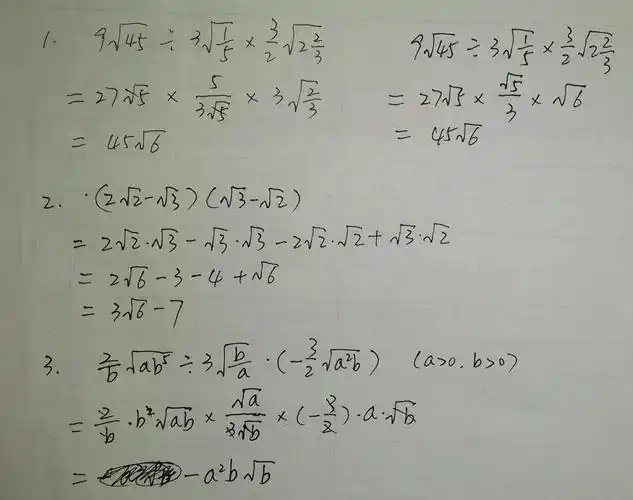
高一数学 函数的性质 坐等高手解答 题目见图片 求过程 迅猛!
下载原图
相关图片
四年级上册数学难题解答
绍兴中考数学难题30
三道数学题求解答
高中数学圆与圆的位置关系解答题,求步骤!
七年级数学下册难题及解答
初中数学经典几何难题及答案
为你推荐
不准打我屁股,从小到大我爸妈都没舍得打我屁股表情包 - 表情图
少女感方脸适合什么发型看徐璐就知道啦
有哪些好看到极致的全面屏壁纸?
画一个家里的狗子的拟人
苏醒暴揍李炜12年后如今再看两人的处境究竟谁才是赢家
角色设计奶妈
第三次终于买到柯南盲盒笔的隐藏款了
祖国的好山河寸土不让1