图知网
搜索
首页
热门推荐
图片分类
基础达标检测 一,选择题 1.(文)函数y=x 的图像是
下载原图
相关图片
[答案]d [答案]d [分析]依题意,方程在y轴右侧的图像有两个交点,然后
数学二次函数图像中几个点构成的图像最大面积怎么求的?求思路
数学题:若函数f(x)=2的x次方 3x的零点在区间(n,n 1)内,其中n属于z,则
求方程(1/2)的x的次方=(x)的1/2次方的实根个数,并说明理由
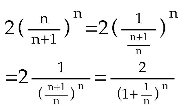
n∈n*,比较n的n 1次方和(n 1)的n次方的大小
追问 得到的不是2(n/n 1)的n次方吗,上式如何来的?
为你推荐
黄旭熙晒女装照颜值超高卷发红唇眼神魅惑
海贼王特拉法尔加罗柯拉松
张大仙谈电玩小子优化,听到他说出的这句话,粉丝:不敢信!
97岁的王大爷因为患有"老年性痴呆",被评定为无民事行为能力,他的配偶
室外庭院地砖地铺石农村小院子地面铺防滑地板砖露台花园户外瓷砖匠盾
演无主之城给女主降情商许龄月最满意告白杜淳
和谐.我家的小狗黄豆和小猫小金黄本来是冤家,两个碰到一起,小 - 抖音
忘羡套娃升级版叽羡叽_魔道祖师忘羡蓝忘机魏无羡绘画作品