图知网
搜索
首页
热门推荐
图片分类
胖胖头像分享98 分享一波有趣的胖胖头像,胖胖的好可爱,快来看看你
下载原图
相关图片
胖胖男生的小头像!艾特出来他! 胖胖男生的专属头像!
胖虎头像图片 呆萌可爱的胖胖胖虎91@朝月词的动态
胖小孩 胖胖的男生头像
这次给大家带来一组超可爱的胖男生头像,每一个都是萌萌哒~不论你是
09胖男生专属微信头像90 哈哈,是不是觉得微信头像太难选了?
96胖男生专属微信头像96
为你推荐
紫砂泥料特性 简介: 窖温: 收缩比
新款代购jp版arena/阿瑞娜运动服游泳外套长袖拉链带帽amuojf22
广西沃柑
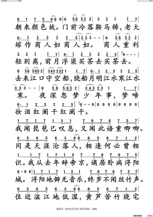
琵琶行简谱
就在漫者动漫电玩城_游戏
有字|172画的汉字,认识吗?biang在它面前弱爆了!
老槐木茶桌
遇见一只大红公鸡(一鸣惊人,鸿运当头)#大公鸡# #公鸡