图知网
搜索
首页
热门推荐
图片分类
森森超静音变频水泵鱼缸潜水泵水族箱循环泵小型鱼池潜水泵抽水泵
下载原图
相关图片
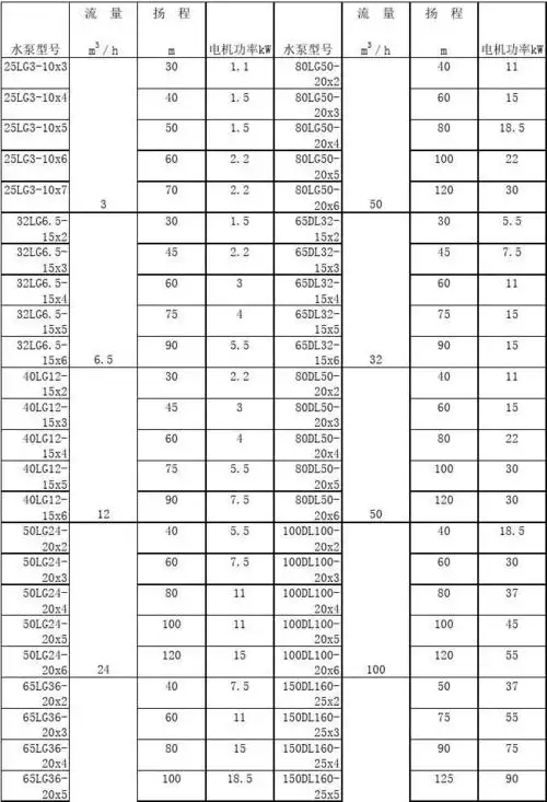
常用水泵规格 型号 参数一览表
潜污泵型号大全
离心泵型号及参数大全(表)word版_第1页
鱼缸水泵潜水泵鱼缸抽水泵鱼池喷泉循环泵小型迷你换水泵4w
森森xqp500/1000/1500水泵 除油膜面吸
循环水泵型号参数
为你推荐
丸子头头像女
金雕展翅 - 知乎
全球濒危物种小灵猫受施工影响受惊受伤霍山养殖基地负责人呼吁暂停
我是包租公陈爵爷,在一个海滨城市做长租公寓. 体验一,经常丢钥匙.
适用vivo x100spro手机壳iqooneo9金属镜头s18全包亲肤条纹保护套
星级示范食堂
卡通手绘刘备关羽张飞桃园结义素材
党徽.jpg