图知网
搜索
首页
热门推荐
图片分类
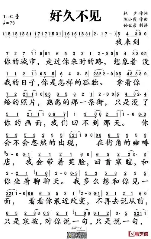
简谱:《好久不见》-陈奕迅演唱 《好久不见》是中国香港流行男歌手
下载原图
相关图片
简谱好久不见简谱_第1页
好久不见简谱c调_生产队编配_陈奕迅
《好久不见》钢琴简谱
好久不见钢琴简谱双手乐谱
好久不见简谱陈奕迅演唱孙世彦制谱
好久不见薛云岗词姜振曲好久不见薛云岗词 姜振曲简谱1
为你推荐
超甜卡通情侣头像一人一半一左一右配对
流泪的图片动漫流泪的图片动漫男伤心2022已更新今日热点
传统古典连续花卉组合图案底纹ai源文件素材
6岁孩子耳廓三角窝处长了一个包,怎么治?
#雅江松茸破土出山##人间至味在雅江##百县百品寻味计划#
天冰秘制红豆
赛博朋克未来科技风炫彩女孩插画ai平面元素免费下载_png格式_2784
大班高达模型 mg沙扎比 说明书缺页