图知网
搜索
首页
热门推荐
图片分类
浙教版七下数学第五章分式计算题集锦word版含答案
下载原图
相关图片
人教版七年级下册数学期末易错计算题#初中#七年级#初中数学# - 抖音
人教版七年级数学下册计算题测试卷
北师大版七年级数学下册 基础计算题100题(无答案).doc
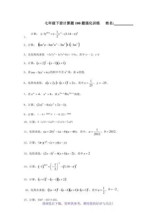
七下数学计算题100道
七年级下册数学计算题300道.docx 29页
北师大版七年级数学下册基础计算题100题无答案
为你推荐
男生头像冷酷帅气潮男图片个性男生最火微信头像图片大全
中国一汽首发亮相六款全新战略车型(组图)
奇迹粤粤环游世界|赵粤长发图楼
原创失眠插图
发挥想象追求星星10脏宇宙飞船火箭太空科幻涂色简笔画
近年来,科曼医疗不断加大研发投入,2020年投入占比从2019年的16%提升
苏果超市布局图
黑色内六角自攻过山丝 发黑直修螺丝 十字米字槽直修椅子家具螺丝