图知网
搜索
首页
热门推荐
图片分类
翻唱日语歌曲 #日语歌 #日语 #日语歌教学 #planet
下载原图
相关图片
日语歌曲planet歌词翻译及罗马注音
《planet》ラムジ 尤克里里 弹唱日语版空耳版曲谱 指弹曲谱
行星日文版歌曲一起来听吧
886_1147竖版 竖屏gif 动态图 动图
听歌学日语 跟着小哥哥学习抖音最火日语歌曲 planet
点击试听《《这首歌是ラムジ (lambsey)演唱的歌曲《planet》
为你推荐
穿黑皮鞋配白袜子真的是很丢人吗?
老照片:1840-1912年清朝末期中国社会图景,最后一张是受刑农民
乐华七子yhboys - 抖音
67火车卧铺座位分布图,硬卧一房六床软卧一房四床_秀佬网
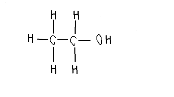
乙醇的分子式:c2h6o 乙醇的结构简式:ch3ch2oh 看结构式可以知道,乙醇
nike耐克正品jordanretroaj5复刻大童运动篮球运动鞋
苗条如柳的打底裤美女,走在大街上,施展她独特的魅力时尚服装
孙继霞硬笔书法《卜算子.咏梅》